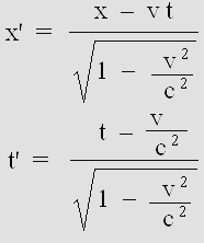
Todos tenemos una percepción de mundo en el cual el espacio transcurre en el tiempo. Donde el tiempo es el constante y es único para todos independiente de nuestro movimiento. Pues, no es así, existe una relación máxima que no se puede superar entre el tiempo y las distancias, este es el límite de velocidad máxima que nuestro universo nos permite, o sea C. De ahí viene esa idea descabellada que nos dicen que si nosotros vamos al sol y regresamos a la tierra a la velocidad de la luz, para nosotros podrían ser sólo 16 minutos, pero en la tierra podrían haber transcurrido decenas de años. ¿Cómo es esto de los tiempos distintos?
Para entender eso, primero hay que olvidarse de nuestra percepción de que el tiempo es constante y transcurre para todos en igual forma. Lo que sí funciona para todos nosotros de igual forma es que hay una velocidad máxima y constante que nos gobierna y es única para todos y es la velocidad de la luz (C)
¿Se han fijao que cuando subes por una escalera mecánica y además comienzas a escalarla estas subiendo a una velocidad total que equivale a tu propia velocidad + la velocidad de la escalera? Pero dentro de la escalera uno sólo avanza a su propia velocidad ¿cierto? Pero, ¿qué pasa si la escalera sube a la velocidad de la luz y tú comienzas a escalarla de todas formas?, para quienes estan fuera de la escalera, no puede existir una velocidad superior a la luz, si la escalera va a esa velocidad y además quienes van dentro de ella la escalan ¿qué se percibe fuera de la escalera? Los que van dentro de la escalera no podrían escalarla, pues claro que pueden, porque dentro de la escalera, un sistema aparte, alguien podría escalarla hasta la velocidad máxima permitida, o sea, hasta la velocidad de la luz. ¿Cómo hace el universo para qué ambas cosas sean posibles? Simple; dilatando el tiempo y/o contrayendo distancias, ya que C=d/t, es C la que tiene que ser constante e igual para todos, en cambio la distancia y el tiempo pueden modificarse con tal de que siempre, para todo sistema se cumpla que d/t sea siempre igual a C.
En el ejemplo de la escalera, para quienes van dentro de la escalera el tiempo transcurre más lento que para quienes están fuera de ella.
Una forma de entenderlo gráficamente es la siguiente; si exactamente a la 1 en punto te alejas de un reloj a la velocidad de la luz, la luz que proyecta el reloj te acompaña todo el tiempo, avanza conjuntamente contigo proyectando en todo momento la 1 en punto. Te alejas a esa velocidad y cada vez que veas el reloj estarás siempre viendo que es la 1 en punto. Podrías alejarte eternamente a esa velocidad y seguirás viendo que es la una en punto, para quienes se quedan al lado del reloj, verán como la hora sigue avanzando.
martes, 26 de julio de 2011
lunes, 25 de julio de 2011
Hoy; la religión
Pero no religión en general, la mía, la única, por supuesto... los que bien me conocen lo saben; yo creo en el monstruo de espagheti volador (MEV para nosotros y FSM por sus siglas in inglich).
Así que hablemos del pastafarismo, así es gente, soy una pastafaria.
Algunos principios básicos para ser un pastafario:
- La creencia central es que el Monstruo de Espagueti Volador, invisible e indetectable, creó el universo después de beber mucho. La borrachera del monstruo explica las imperfecciones del mundo creado.
- Todas las evidencias que «erróneamente» apoyan la evolución han sido plantadas intencionadamente por este ser, para poner a prueba la fe de sus fieles, parodiando la postura de los que creen en la infalibilidad bíblica. Así, el MEV hace que todo parezca más viejo de lo que es en realidad. Por ejemplo, cuando un científico realiza un proceso de datación radiométrica de un objeto arqueológico, el MEV está ahí para cambiar los resultados con su apéndice tallarinesco sin que el científico se dé cuenta.
- El monstruo guía continua e invisiblemente la conducta de cada ser humano (creyente o no) por medio de sus apéndices tallarinescos.
- El calentamiento global, los terremotos, los huracanes y otros desastres naturales son consecuencia directa de que a partir del siglo XIX ha disminuido el número de piratas.
- La creencia Pastafari del cielo hace hincapié en estos dos puntos:
- Tiene volcanes de cerveza hasta donde alcanza la vista.
- Tiene una fábrica de bailarines/as de striptease.
- En cambio, en el infierno:
- Hay también volcanes de cerveza, pero está caliente y sin gas.
- Los bailarines/as de striptease sufren enfermedades venéreas.
- El día sagrado de los pastafaris es el viernes. Los pastafaris devotos deben vestir completamente con atuendo de pirata.
- Aunque el MEV posee un nombre, éste es tan hermoso y difícil de pronunciar que no sólo mata a quienquiera que lo intente, sino también a todo ser dentro de un radio de 6.534 kilómetros. Este radio se duplica cuando uno trata de escribir o mecanografiar el nombre. Esto fue hecho a propósito por el MEV sólo para entretenerse.
- El MEV reveló su mensaje al capitán pirata Mosey y a Bobby Henderson que son profetas de esta Primera Iglesia Unida del Monstruo de Espagueti Volador (First United Church of the Flying Spaghetti Monster).
- El símbolo principal es una cruz, que en vez de tener un Jesús crucificado, tiene un tenedor para comer espaguetis.
- Las oraciones a «Él» deben terminar siempre con la palabra «Ramén» en vez de «Amén». Ramen es una versión japonesa de la sopa de fideos china.
- Un colador para espaguetis es el símbolo que cubre la cabeza de los seguidores de esta secta, de hecho en Austria es permitido para fotografías de licencias de conducir e identificaciones. Dicha lucha fue llevada a cabo por Niko Alm, al ver que injustamente no se le permitía usar su peculiar atuendo, mientras que si a personas de otras religiones, como mujeres musulmanes y monjas.
Los argumentos filosófícos lógicos e irrefutables de que MEV existe:
Argumento ontológico del MEV
- Premisa 1: el Monstruo de Espagueti Volador es un ser que tiene toda perfección.
- Premisa 2: la existencia es parte de la perfección.
- Conclusión: por lo tanto el Monstruo de Espagueti Volador existe.
El argumento cosmológico del MEV
- Premisa 1: la existencia de todo lo que comienza a existir tiene una causa.
- Premisa 2: el universo comenzó a existir.
- Conclusión 1: por lo tanto la existencia del universo tiene una causa.
- Premisa 3: como no hay una explicación científica que pueda elucidar la causa del origen del universo, esta causa debe ser sobrenatural, o sea el universo fue creado por un dios.
- Conclusión 2: por lo tanto, un dios existe.
- Premisa 4: los dioses siempre han creado a los humanos a su propia imagen y semejanza.
- Premisa 5: el cerebro de los humanos parece una fuente de espaguetis.
- Conclusión 3: por lo tanto, el Monstruo de Espagueti Volador es el único Dios verdadero
Argumento ontológico del MEV
- Premisa 1: se puede imaginar el ser más grande (del que no se pueda imaginar uno más grande).
- Premisa 2: si no existe un ser a partir del cual no se puede imaginar uno más grande, de todos modos yo podría imaginar uno más grande que ese ser del cual no se podía imaginar uno más grande (o sea, un ser a partir del cual realmente ya no se pueda imaginar uno más grande).
- Premisa 3: no es posible imaginar un ser más grande que un ser del cual ya no es posible imaginar uno más grande.
- Conclusión 1: por lo tanto, existe un ser del que no se puede imaginar uno más grande.
- Premisa 4: si ese ser no tiene un Apéndice Tallarinesco, entonces yo podría imaginar un ser más grande que ese ser: uno que tuviera un Apéndice Tallarinesco.
- Conclusión 2: por lo tanto, el ser del que no se puede imaginar uno más grande tiene un Apéndice Tallarinesco.
- Conclusión 3: por lo tanto, el ser del que no se puede imaginar uno más grande tiene un Apéndice Tallarinesco y existe
- Conclusión 4: por lo tanto, el Monstruo de Espagueti Volador existe.
- Conclusión 5: por lo tanto, el Monstruo de Espagueti Volador es todo poderoso.
En la próxima entrada; la relación del monstruo de espagheti volador y los piratas
si el gran MEV quiere,
Ramén
PD: todo esto ha sido un vil copy paste de wikipedia, más robo de imagen del gran alberto montt. Lo siento, es lo que hay :P
viernes, 22 de julio de 2011
Facebook; you're doing it wrong
Cosas que hacemos mal en facebook, o que no nos gusta leer en facebook
1) Gente que usa facebook como twitter; fui a almorzar, almorcé langosta y de postre helado de azafrán con hojuelas de oro y polvo lunar, voy por un café, ahora pa' la casa, llegué a mi casa, sigo en mi casa, ahora voy a ver TV, etc. Uno de esos al día es suficiente. Además se confunde el "qué estás pensando?" con "qué wea estay haciendo?". Si quisiéramos leer sus tweets, lo tendríamos en twitter.
2) Gente que "le gusta todo", jaja guilty as charged, afortunadamente ahora feisbuc dice a "Dragonfly le gusta todo y 345623 páginas más", así que la entrada en inicio no es tan molesta hoy en día. (déjenme justificarme)
3) Gente que llena su muro de noticias, publicaciones, comics, etc. de nuevo guilty as charged. En menos de un día puedo tener mi muro renovado, y ok. si sabemos que te gustan las noticias políticas, los comics nerds y rankins bizarros. Cánsate, ya te leímos, sabemos como eres y sólo te interesan a ti!!!! ya weno nunca más :(.
4) Gente que ventila a medias su situación emocional. El clásico me siento mal/triste/sol@/decepcionad@ en el estado de feisbuc. Uno si es amigo de verdad, no sólo de facebook, comenta ¿qué chucha pasó?, para que te respondan "no ,nada, no te preocupes". Si no quieres atención no grites por ella!!! Además que refleja inseguridad hacia ti mismo y a quiénes consideras amigos.
5) Facebook no es tu psicólogo. Gente que postea todos sus problemas. Gente que más que un psicoanálisis necesita un psycho-análisis.
6) Gente que habla todo el día de su hij@, sobrin@ y/o mascota, aceptémoslo, sólo son lind@s para nosotros.
7) Parejas que están todo el día posteándose weas mamonas, si entendemos se aman ¿por qué externalizarlo tanto? si igual existe el mensaje interno. Sépalo, cuando alguien está con la volá de que poco menos quiere casarse con su media naranja es porque tremendo cagazo se mandó, es análogo a eso del tamaño o precio del regalo que te dan es proporcional al cagazo que se mandaron. Cuando los demás vemos tanta wea melosa en las parejas de feisbuc nos preguntamos ¿nos quieren engañar a nosotros o a ellos mismos?. No me digan que no les importa lo que los demás pensamos y hacen lo que quieren, si no les importara no lo publicarían, no les creemos :P
8) Gente que se pelea por feisbuc... jjaja no, olvídenlo, esa wea la disfruto XD.
9) Gente que escribe indirectas en facebook. Clásicos "Así uno sabe quiénes son amigos", "Qué increíble que me haya juntado con gente así", "Qué penca es ver la cara real de las personas". A la directa washos! queremos nombres! si no, no nos interesa. Todos nos hemos topado con weones traicioneros, aparte de empatía no podemos hacer más. Además ¿cómo chucha le vamos a ir a sacar al csm ese si no dicen quien es?. Esta wea se da también con indirectas a la pareja, es aun peor cuando hay amigos en común que nos toca leer esas weas.
10) Gente que dice que va a borrar gente. Borre piolita, y sea antisocial en silencio.
¿¿Alguien tiene Google+?? XD
1) Gente que usa facebook como twitter; fui a almorzar, almorcé langosta y de postre helado de azafrán con hojuelas de oro y polvo lunar, voy por un café, ahora pa' la casa, llegué a mi casa, sigo en mi casa, ahora voy a ver TV, etc. Uno de esos al día es suficiente. Además se confunde el "qué estás pensando?" con "qué wea estay haciendo?". Si quisiéramos leer sus tweets, lo tendríamos en twitter.
2) Gente que "le gusta todo", jaja guilty as charged, afortunadamente ahora feisbuc dice a "Dragonfly le gusta todo y 345623 páginas más", así que la entrada en inicio no es tan molesta hoy en día. (déjenme justificarme)
3) Gente que llena su muro de noticias, publicaciones, comics, etc. de nuevo guilty as charged. En menos de un día puedo tener mi muro renovado, y ok. si sabemos que te gustan las noticias políticas, los comics nerds y rankins bizarros. Cánsate, ya te leímos, sabemos como eres y sólo te interesan a ti!!!! ya weno nunca más :(.
4) Gente que ventila a medias su situación emocional. El clásico me siento mal/triste/sol@/decepcionad@ en el estado de feisbuc. Uno si es amigo de verdad, no sólo de facebook, comenta ¿qué chucha pasó?, para que te respondan "no ,nada, no te preocupes". Si no quieres atención no grites por ella!!! Además que refleja inseguridad hacia ti mismo y a quiénes consideras amigos.
5) Facebook no es tu psicólogo. Gente que postea todos sus problemas. Gente que más que un psicoanálisis necesita un psycho-análisis.
6) Gente que habla todo el día de su hij@, sobrin@ y/o mascota, aceptémoslo, sólo son lind@s para nosotros.
7) Parejas que están todo el día posteándose weas mamonas, si entendemos se aman ¿por qué externalizarlo tanto? si igual existe el mensaje interno. Sépalo, cuando alguien está con la volá de que poco menos quiere casarse con su media naranja es porque tremendo cagazo se mandó, es análogo a eso del tamaño o precio del regalo que te dan es proporcional al cagazo que se mandaron. Cuando los demás vemos tanta wea melosa en las parejas de feisbuc nos preguntamos ¿nos quieren engañar a nosotros o a ellos mismos?. No me digan que no les importa lo que los demás pensamos y hacen lo que quieren, si no les importara no lo publicarían, no les creemos :P
8) Gente que se pelea por feisbuc... jjaja no, olvídenlo, esa wea la disfruto XD.
9) Gente que escribe indirectas en facebook. Clásicos "Así uno sabe quiénes son amigos", "Qué increíble que me haya juntado con gente así", "Qué penca es ver la cara real de las personas". A la directa washos! queremos nombres! si no, no nos interesa. Todos nos hemos topado con weones traicioneros, aparte de empatía no podemos hacer más. Además ¿cómo chucha le vamos a ir a sacar al csm ese si no dicen quien es?. Esta wea se da también con indirectas a la pareja, es aun peor cuando hay amigos en común que nos toca leer esas weas.
10) Gente que dice que va a borrar gente. Borre piolita, y sea antisocial en silencio.
¿¿Alguien tiene Google+?? XD
jueves, 21 de julio de 2011
No es fácil ser feminista
Hoy: resentimiento mode on
Digo que no es ser fácil ser feminista; dejando de lado que si una se va en la profunda y se pone grave con el tema pasa a ser una resentida.
Pero muchas veces por defender una postura, nos vamos a otro extremo que también nos perjudica. ¿será que en muchos aspectos se nos acusa a las mujeres por ser y no ser al mismo tiempo?
Dando un ejemplo; situaciones donde a las mujeres se les considera un objeto sexual, estoy conciente que somos más que eso, pero cuando te opones tanto a algo, te vas al extremo totalmente opuesto, esperando una imagen entonces poco menos que virginal de las mujeres, lo cual encuentro 10 veces peor.
Además están esas sutiles diferencias; para las minas en general, van a considerar puta a la mina que se mete con varios, por contraparte los minos tratarán de maraca culiá precisamente a la mina que no les dio la pasá. Y en todo caso ¿quién dijo que ser puta o maraca es algo malo? Nadie, pero lo tenemos bien pegado en nuestro ADN. Y en este caso se nos acusa por ser y por no ser.
En la defensa de igualdad de derechos, el papel de madre o dueña de casa está completamente desprestigiado. Las mujeres por buscar independencia económica se fueron al mundo laboral, lo cual no tiene nada de malo, el problema es que eso ha llevado a muchas féminas a vivir en negativa en cuanto al papel de "dueña de hogar" como bien lo ilustran en los simpsons "ama de casa no es un trabajo de verdad, por algo no lo pagan". La justificación de la inserción laboral de las mujeres se encuentra en las desventajas de ser dueña de casa y madre. Y en contraparte, las desventajas de que la mujer trabaje justifican el papel de madre y dueña de casa, pero te conviertes en un machista si siquiera se te ocurre mencionarlas ¿cómo que hay desventajas en que la mujer trabaje?!!!!!.
A lo que voy es, que por defender la idea que la mujer también puede trabajar, nos volvimos en contra de otra parte de ser mujer. Con nosotras y contra nosotras.
Sólo nos queda ser ambas cosas, porque la que no quiere ser madre es "desnaturalizada", entonces tienes que serlo todo, porque se te acusa de ser y de no ser, no tienes tiempo para ti, lo ocupas todo en cumplir a la perfección los roles que se te han impuesto. La que no quiere ser madre es desnaturalizada, la que no quiere formarse profesionalmente busca una vida fácil, es vacía, es cómoda y sin metas intelectuales. Qué estrés!!
Afortunadamente las posturas que aquí he escrito son arcaicas, pero por ser arcaicas que ahora puedo ver como en algunos casos el feminismo está con nosotras y contra nosotras al mismo tiempo, si pasa hoy en día en otros aspectos no lo he podido ver aun.
Otra cosa, el machismo encubierto en algunas cosas culturales nos ciega y no nos damos cuenta de ciertas actitudes machistas, y hasta nos volvemos arrogantes y nos creemos la meca en igualdad de derechos. Nos horrorizamos porque se cubren la cabeza en medio oriente, pero nosotras no lo cuestionamos si lo hace una monja, o tampoco nos cuestionamos que nosotras también tenemos ciertas partes del cuerpo que está prohibido mostrar, sin embargo en alguna que otra tribu africana es completamente normal (si, estoy halando de las tetas) ¿en qué momento la fuente primaria de alimentación de los bebés se volvió en algo obsceno?
Igual no saldría a la calle con las pechugas afuera nicagando XD
Digo que no es ser fácil ser feminista; dejando de lado que si una se va en la profunda y se pone grave con el tema pasa a ser una resentida.
Pero muchas veces por defender una postura, nos vamos a otro extremo que también nos perjudica. ¿será que en muchos aspectos se nos acusa a las mujeres por ser y no ser al mismo tiempo?
Dando un ejemplo; situaciones donde a las mujeres se les considera un objeto sexual, estoy conciente que somos más que eso, pero cuando te opones tanto a algo, te vas al extremo totalmente opuesto, esperando una imagen entonces poco menos que virginal de las mujeres, lo cual encuentro 10 veces peor.
Además están esas sutiles diferencias; para las minas en general, van a considerar puta a la mina que se mete con varios, por contraparte los minos tratarán de maraca culiá precisamente a la mina que no les dio la pasá. Y en todo caso ¿quién dijo que ser puta o maraca es algo malo? Nadie, pero lo tenemos bien pegado en nuestro ADN. Y en este caso se nos acusa por ser y por no ser.
En la defensa de igualdad de derechos, el papel de madre o dueña de casa está completamente desprestigiado. Las mujeres por buscar independencia económica se fueron al mundo laboral, lo cual no tiene nada de malo, el problema es que eso ha llevado a muchas féminas a vivir en negativa en cuanto al papel de "dueña de hogar" como bien lo ilustran en los simpsons "ama de casa no es un trabajo de verdad, por algo no lo pagan". La justificación de la inserción laboral de las mujeres se encuentra en las desventajas de ser dueña de casa y madre. Y en contraparte, las desventajas de que la mujer trabaje justifican el papel de madre y dueña de casa, pero te conviertes en un machista si siquiera se te ocurre mencionarlas ¿cómo que hay desventajas en que la mujer trabaje?!!!!!.
A lo que voy es, que por defender la idea que la mujer también puede trabajar, nos volvimos en contra de otra parte de ser mujer. Con nosotras y contra nosotras.
Sólo nos queda ser ambas cosas, porque la que no quiere ser madre es "desnaturalizada", entonces tienes que serlo todo, porque se te acusa de ser y de no ser, no tienes tiempo para ti, lo ocupas todo en cumplir a la perfección los roles que se te han impuesto. La que no quiere ser madre es desnaturalizada, la que no quiere formarse profesionalmente busca una vida fácil, es vacía, es cómoda y sin metas intelectuales. Qué estrés!!
Afortunadamente las posturas que aquí he escrito son arcaicas, pero por ser arcaicas que ahora puedo ver como en algunos casos el feminismo está con nosotras y contra nosotras al mismo tiempo, si pasa hoy en día en otros aspectos no lo he podido ver aun.
Otra cosa, el machismo encubierto en algunas cosas culturales nos ciega y no nos damos cuenta de ciertas actitudes machistas, y hasta nos volvemos arrogantes y nos creemos la meca en igualdad de derechos. Nos horrorizamos porque se cubren la cabeza en medio oriente, pero nosotras no lo cuestionamos si lo hace una monja, o tampoco nos cuestionamos que nosotras también tenemos ciertas partes del cuerpo que está prohibido mostrar, sin embargo en alguna que otra tribu africana es completamente normal (si, estoy halando de las tetas) ¿en qué momento la fuente primaria de alimentación de los bebés se volvió en algo obsceno?
Igual no saldría a la calle con las pechugas afuera nicagando XD
martes, 19 de julio de 2011
el incomprendido bloody mary
Bloody mary para mi gusto es fantástico, y casi nunca lo tomo debido a que para que quede filete tiene que ser muy precisa su preparación. Rara vez lo pido en bares, principalmente porque los antros que habituo el trago más elaborado que ofrecen es una piscola. También es el único trago que cada vez que lo pido me preguntan si sé qué es lo qué tiene, ¿tengo cara de pedir pisco sour, primavera o piña colada esperando siempre un trago dulce/ácido? y esto es porque quienes atienden me aseguran que muchos terminan devolviendo el bloody mary porque NO LES GUSTÓ!!! (herejes....), admito que hasta yo he rechazado uno que otro bloody mary, pero porque no les quedó bueno. Aunque aun estoy decidiendo si soy yo la mañosa, o de verdad el bloody mary debe estar perfectamente preparado.
Por eso creo que el bloody mary es incomprendido, no es del gusto de la mayoría o de la masa, si el jugo de tomates no es ni tan popular, menos lo es un trago donde es casi el ingrediente principal. Además el nombre que tiene invita a imaginarse de inmediato a una María menstruando, más encima lo sirven con una ramita de apio, el abortivo natural, todo mal con la imagen mental. Afortunadamente no es de esta idea bizarra el origen del incomprendido bloody mary, y cuenta la leyenda más aceptada que lo inventó George Jessel (actor y productor de la era dorada de Hollywood) en su versión inicial: jugo de tomate con vodka. El actor una mañana que andaba con caña recordó que le habían dicho que para sentirse mejor se tomara un jugo de tomate, pero él lo que quería en realidad era tomar más vodka. Está diciendo, en su situación también los mezclo. Luego un barista del New York Bar de París, Ferdinand Petitot, le dio la forma que tiene hoy el bloody mary.
Del origen del nombre:
Ahora volviendo al trago en sí, recordando su complejidad porque dicen que contiene todos los 5 sabores básicos que percibimos y tienen que estar en perfecta armonía para que quede weno weno: salado, dulce, amargo, ácido y umami (no me pregunten a que sabe eso, ni idea). Pero además quisiera agregar que dado que lleva pimienta y salsa inglesa y a veces tabasco, son cosas picantes, que más que un sabor entrega una sensación (el sabor "picante" no existe).
Les dejo un copy paste de un artículo de la ABC respecto a la fórmula secreta del bloody mary:
PD: en un principio esta sería la entrada del viernes, pero dado que no tengo temas, y el tema del bloody mary lo tenía ahora,,, weno,,no dejes para el viernes lo que puedes hacer el miércoles en la madrugada.
Por eso creo que el bloody mary es incomprendido, no es del gusto de la mayoría o de la masa, si el jugo de tomates no es ni tan popular, menos lo es un trago donde es casi el ingrediente principal. Además el nombre que tiene invita a imaginarse de inmediato a una María menstruando, más encima lo sirven con una ramita de apio, el abortivo natural, todo mal con la imagen mental. Afortunadamente no es de esta idea bizarra el origen del incomprendido bloody mary, y cuenta la leyenda más aceptada que lo inventó George Jessel (actor y productor de la era dorada de Hollywood) en su versión inicial: jugo de tomate con vodka. El actor una mañana que andaba con caña recordó que le habían dicho que para sentirse mejor se tomara un jugo de tomate, pero él lo que quería en realidad era tomar más vodka. Está diciendo, en su situación también los mezclo. Luego un barista del New York Bar de París, Ferdinand Petitot, le dio la forma que tiene hoy el bloody mary.
Del origen del nombre:
- lo bautizaron dos clientes del New York Bar porque les recordaba a una mesera de otro bar que le decían Bloody Mary por su temperamento.
- el nombre se lo dio la esposa de Jessel. Él se lo echó encima a su esposa que, cuando se vio cubierta del líquido rojo dijo “ahora vas a poder decirme Bloody Mary”
- el aspecto sangriento del trago le recordó a alguien a la reina María I de Inglaterra. María Tudor. María la sanguinaria. Bloody Mary.
Ahora volviendo al trago en sí, recordando su complejidad porque dicen que contiene todos los 5 sabores básicos que percibimos y tienen que estar en perfecta armonía para que quede weno weno: salado, dulce, amargo, ácido y umami (no me pregunten a que sabe eso, ni idea). Pero además quisiera agregar que dado que lleva pimienta y salsa inglesa y a veces tabasco, son cosas picantes, que más que un sabor entrega una sensación (el sabor "picante" no existe). Les dejo un copy paste de un artículo de la ABC respecto a la fórmula secreta del bloody mary:
"Para disfrutar de un buen «Bloddy Mary» no basta con mezclar con mimo sus ingredientes: un buen zumo de tomate, vodka, tabasco, limón, salsa Worcestershire, unos cubitos de hielo, además de sal y pimienta. El cóctel perfecto es mucho más que la suma de todo eso, al menos, según Neil da Costa, un experto en análisis químico de sabores. Para que los sabores alcancen su mayor explosión en el paladar la clave está en la manipulación y en la frescura de su elaboración, según ha explicado Da Costa en el Congreso de la Sociedad Americana de Química.
He aquí los pasos a seguir, según su receta: el cóctel debe prepararse en el momento de consumir porque es una bebida químicamente inestable y se deteriora con rapidez; nunca olvide el hielo, reduce las reacciones químicas que produce el zumo de tomate y otros ingredientes que degradan el sabor; no ahorre en el zumo, el jugo de mayor calidad le proporcionará un sabor profundo y sabroso; es mejor economizar en el vodka, porque el intenso y picante sabor del cóctel enmascara la calidad del alcohol y, por último, no olvide la coctelera. Ya sabe: agitado no mezclado, como diría James Bond al pedir su Dry Martini.
Si sigue estos pasos probablemente disfrute de una cascada de sabores que se mueven por las sensaciones dulces, saladas y ácidas. El famoso «Bloddy Mary» es el cóctel más complejo, desde el punto de vista de la química. Se puede alabar también por sus propiedades saludables. Da Costa recuerda los beneficios antioxidantes del tomate, los fitoquímicos del limón y las ventajas de tomar alcohol con moderación."PD: en un principio esta sería la entrada del viernes, pero dado que no tengo temas, y el tema del bloody mary lo tenía ahora,,, weno,,no dejes para el viernes lo que puedes hacer el miércoles en la madrugada.
Blog for dummies
De la línea de libros "for dummies" existente, en estos momentos es esta la que necesito para absolutamente todo en el universo del bló. De tener tema para escribir, y de diseño, imagen y de esas weas que no me gustan. Recuerde que cada vez que digo no me gusta o no me interesa significa en realidad que soy una completa ignorante respecto al tema. Si fue primero el huevo o la gallina ya es otra discusión. Igual podría escribir acerca de eso ahora ya que mi problema sigue siendo el no tener tema.
Igual intenté leer las noticias a ver si un tema me inspiraba, pero la verdad aparte de la confirmación del suicidio de Allende no hay noticias interesantes. En todo caso prefiero al compañero presidente muerto por sus propias manos que de los de las FFAA. Otro tema de discusión: "¿cuando el suicidio es una salida cobarde?", igual ganarle a tus instintos básicos de supervivencia al menos no me suena como algo fácil.
Quizás si voy contra mis principios y leo LUN encuentre tema para criticar, desde quienes lo escriben hasta quienes lo leen. Hablando en serio ¿por qué la gente lee esa wea?. Y quién diría que LUN me dio tema, pero atrasado como siempre: "Gente que se opone a que los mineros demanden al Estado" No sé uds. pero si mi vida hubiese estado en juego de esa misma forma hubiese demandado por mucho mas que unos penkas 250 palos (lo que recibiría cada minero de ganar la demanda). La verdad la negligencia y abandono de obligaciones o como sea que se llame esa figura es exactamente la misma si los mineros hubiesen muerto en el accidente, y creo que nadie se opondría si fueran las familias quienes demandaran al estado por lo mismo.
La noticia me la recordó un tweet de Mario Schillin, que dijo que demandar al estado es como de mandar a la mamá, creánme que no tendría ningún atao con demandar a mi vieja si se manda un cagazo, y a un weon así de mamón mejor no hacerle caso XD.
Igual es más noticia lo de chuck norris que la demanda,, jajajajaja
Ya y hasta aquí escribo, una de las razones por las que no leo muchos blogs es que cuando las entradas se alargan mucho los weones aburren. Y la gran mayoría de los bloggeros no tenemos absolutamente nada interesante que contar.
Salud por eso!
experimento para la próxima entrada: aplicar el peak de ballmer y experimentar si funciona en otras habilidades distintas a la programación, a ver si su grado de alcohol en la sangre hace que filosofee más entretenido al menos. (Mentira, es la excusa para tomar).
Igual intenté leer las noticias a ver si un tema me inspiraba, pero la verdad aparte de la confirmación del suicidio de Allende no hay noticias interesantes. En todo caso prefiero al compañero presidente muerto por sus propias manos que de los de las FFAA. Otro tema de discusión: "¿cuando el suicidio es una salida cobarde?", igual ganarle a tus instintos básicos de supervivencia al menos no me suena como algo fácil.
Quizás si voy contra mis principios y leo LUN encuentre tema para criticar, desde quienes lo escriben hasta quienes lo leen. Hablando en serio ¿por qué la gente lee esa wea?. Y quién diría que LUN me dio tema, pero atrasado como siempre: "Gente que se opone a que los mineros demanden al Estado" No sé uds. pero si mi vida hubiese estado en juego de esa misma forma hubiese demandado por mucho mas que unos penkas 250 palos (lo que recibiría cada minero de ganar la demanda). La verdad la negligencia y abandono de obligaciones o como sea que se llame esa figura es exactamente la misma si los mineros hubiesen muerto en el accidente, y creo que nadie se opondría si fueran las familias quienes demandaran al estado por lo mismo.
La noticia me la recordó un tweet de Mario Schillin, que dijo que demandar al estado es como de mandar a la mamá, creánme que no tendría ningún atao con demandar a mi vieja si se manda un cagazo, y a un weon así de mamón mejor no hacerle caso XD.
Igual es más noticia lo de chuck norris que la demanda,, jajajajaja
Ya y hasta aquí escribo, una de las razones por las que no leo muchos blogs es que cuando las entradas se alargan mucho los weones aburren. Y la gran mayoría de los bloggeros no tenemos absolutamente nada interesante que contar.
Salud por eso!
experimento para la próxima entrada: aplicar el peak de ballmer y experimentar si funciona en otras habilidades distintas a la programación, a ver si su grado de alcohol en la sangre hace que filosofee más entretenido al menos. (Mentira, es la excusa para tomar).
lunes, 18 de julio de 2011
No sé negociar
No sé negociar...
de qué estaba pensando cuando se me ocurrió pedir 10 míseros "me gusta" a mi estado de feisbuc para crear un bló, y de como vi que la wea se consiguió en menos de 45 minutos pensé.. debí pedir más, al menos un chocolate,,,, mmMMMMmmm chocolateeeeeeee...
Lo principal y que me frenaba de blogear era que no sé que chucha escribir, de hecho estoy escribiendo de no saber que chucha escribir, así que les dejo unas reflexiones random.
"Los que reciben la plata de los que apostaron en Xperto pa' la copa américa la hicieron de oro"
"Caminar con la cabeza mirando hacia el suelo en lugar de hacia al frente hace que me vea más pequeña, hasta puedo generar una joroba, y parezco persona insegura.. por otro lado me encontré dos lukitas"
"La foto culia random que escogí no tiene nada que ver con el blog"
"Conductas violentas y el experimento en ratas de John B. Calhoun" (averigüe ud. de que se trata y haga la analogía con la densidad poblacional en santiago).
"Sillita musical y cambio de gabinete"
"No sé que wea más poner"
"Uno tiene tiempo o dinero.. y la csm no tengo ninguno de los dos"
"No creo en Dios porque mata a los gatitos"
"Algunos preguntan ¿qué tiene de malo el lucro en la educación?, yo me pregunto ¿en qué momento llegamos al punto en que lucrar con cualquier cosa estaba bien? ¿es que todo tiene que verse desde el prisma del mercado? ¿es la única perspectiva que tenemos para medirlo todo?"
"Los pandas están sobrevalorados (kung fu panda no)"
de qué estaba pensando cuando se me ocurrió pedir 10 míseros "me gusta" a mi estado de feisbuc para crear un bló, y de como vi que la wea se consiguió en menos de 45 minutos pensé.. debí pedir más, al menos un chocolate,,,, mmMMMMmmm chocolateeeeeeee...
Lo principal y que me frenaba de blogear era que no sé que chucha escribir, de hecho estoy escribiendo de no saber que chucha escribir, así que les dejo unas reflexiones random.
"Los que reciben la plata de los que apostaron en Xperto pa' la copa américa la hicieron de oro"
"Caminar con la cabeza mirando hacia el suelo en lugar de hacia al frente hace que me vea más pequeña, hasta puedo generar una joroba, y parezco persona insegura.. por otro lado me encontré dos lukitas"
"La foto culia random que escogí no tiene nada que ver con el blog"
"Conductas violentas y el experimento en ratas de John B. Calhoun" (averigüe ud. de que se trata y haga la analogía con la densidad poblacional en santiago).
"Sillita musical y cambio de gabinete"
"No sé que wea más poner"
"Uno tiene tiempo o dinero.. y la csm no tengo ninguno de los dos"
"No creo en Dios porque mata a los gatitos"
"Algunos preguntan ¿qué tiene de malo el lucro en la educación?, yo me pregunto ¿en qué momento llegamos al punto en que lucrar con cualquier cosa estaba bien? ¿es que todo tiene que verse desde el prisma del mercado? ¿es la única perspectiva que tenemos para medirlo todo?"
"Los pandas están sobrevalorados (kung fu panda no)"
Suscribirse a:
Comentarios (Atom)





